
- BioPharm International-04-01-2016
- Volume 29
- Issue 4
A Review of the Challenges of Delivering Macromolecule Biologicals
Selecting a delivery method early on may be beneficial.
According to EvaluatePharma World Preview 2015, global sales of prescription drugs are projected to reach almost $1 trillion by 2020 (1), of which approximately 45% are expected to be biological products, predominantly monoclonal antibodies. Since the 1990s, biologic drugs have become the jewel in the crown for the bio/pharmaceutical industry, offering remarkable new therapeutic benefits, together with commercial opportunities. Nonetheless, delivering these large molecules presents challenges for the industry. Most protein-based drugs are denatured and rendered largely useless if taken orally; therefore, a means of delivery other than a tablet or capsule is usually required.
Practical options for delivering large molecules
People with diabetes have been successfully injecting themselves with insulin, often several times each day, for more than 94 years, so one might expect that self-injection of any other drug should be straightforward. It is, however, not quite that simple; insulin, with a molecular weight of 5.8 kDa, seems a rather chunky molecule when compared with drugs such as aspirin (180 Da) or even penicillin (approximately 335 Da). The top-selling anti-rheumatic biologic, Humira, on the other hand, has a molecular weight of approximately 148 kDa, (i.e., approximately 25 times the size of the relatively compact insulin molecule), and is anything but simple, as shown by its chemical formula; C6428H9912N1694O1987S46. The high mg per mL concentrations typical of very large molecules can result in injectable product viscosities high enough to cause problems for device designers, manufacturers, primary container suppliers, and patients.
Self-administered therapies, especially for chronic conditions, are typically given in infrequent injections of relatively large payloads of drug product that are injected weekly, possibly fortnightly, or even quarterly. Injection of 1 mL in a single, self-administered dose has historically been regarded as the threshold of acceptability, but single injected doses of up to 2.5 mL are now being actively explored. Discomfort or pain are major considerations, but time also forms a part of the equation. In general, patients don’t want to hold an autoinjector (an increasingly common delivery device format for biological drugs) in place for more than 10, or at the most 15, seconds--a time window that includes needle insertion as well as the actual injection.
Syringeability
Syringeability refers to the force required to inject a given solution at a given rate via a chosen needle length and gauge. Flow through a hollow needle is characterized by the Hagen-Poiseuille equation (see Equation 1):
where F = syringe stopper (plunger) force; Q = volumetric flow rate; μ = dynamic viscosity; L = needle length; D = needle bore diameter; and A = syringe plunger area.
Although syringe plunger friction and tissue resistance at the needle tip will add to syringe plunger force, viscous resistance within the needle is particularly relevant as larger molecules and higher concentrations result in higher viscosity formulations. Needle gauge is key; although a finer needle means easier and less painful insertion, it also has a smaller bore. Equation 1 shows that plunger force varies with D4. Thus, for example, changing from a 27-g needle with a bore of 0.191 mm to a 30-g needle of similar length, but with a bore of 0.140 mm, will increase the plunger force by 350%, if the flow rate, Q, and hence the injection duration, were to remain the same.
For a spring-powered autoinjector, the spring driving the syringe plunger must provide adequate force at the end of stroke (as the last drop of drug is delivered). However, the stiffness or “rate” of a traditional coil spring dictates that at the start of delivery, the spring force will be significantly higher. Add on the syringe plunger friction and tissue resistance, plus a safety margin to allow for tolerances, and it becomes apparent that some surprisingly high forces have to be handled by the injector mechanism and, specifically, reacted through the prefilled syringe (usually of Type 1 borosilicate glass) at the heart of the autoinjector. Not surprisingly, breakages, failures, and malfunctions are among the problems faced by auto injectors delivering highly viscous biologic drugs.
At this point, it should be emphasized that the rules of fluid dynamics cited, though applicable for a great many situations, are only strictly valid for “Newtonian fluids” (i.e., those for which shear rate is directly proportional to flow rate). So-called “ideal fluids” exhibit zero stress under any flow conditions. At the opposite extreme, ideal solids do not flow under any conditions. Between these two extremes, Newtonian fluids, exhibiting a neat, straight-line relationship are joined by other, non-Newtonian fluids that exhibit non-linear behaviors:
- “Dilatant” fluids exhibit shear-thickening behavior, one example of which is seen when mixing cornflour with water, which goes from liquid to solid when the mixture is stirred
- “Pseudo plastic” or shear-thinning fluids, such as tomato ketchup, which becomes mobile and free-flowing when shaken. This group includes blood and also high concentration formulations of high molecular weight drugs.
Mathematical modeling, whether based on the assumption of “classical” Hagen-Poiseuille flow, or a more complex attempt to allow for non-Newtonian fluid flow, is an essential step in creating an understanding of how a syringe and needle system might perform and which characteristics can be adjusted to arrive at a practically useful configuration. However, it remains the case that empirical work to compare predicted performance with that actually achieved provides the vital link in validating any model. Comparing theory with practice and using the findings of both to refine and deepen understanding is common sense and also acts as a useful tool in overall risk analysis.
Table I sets out a simple guide to setting up and running a rational set of tests that can be easily used alongside a mathematical modelwhether simple, Hagen-Poiseuille-based or more esotericto explore the options afforded in syringe configuration (i.e., needle gauge and length, syringe bore and stroke to achieve a given dose volume, materials of construction [e.g., glass or cyclic polyolefin], stopper type, lubrication, etc). Such a “landscape exploration” involving a combination of laboratory work and running models provides benefit in overall understanding at a modest cost, when viewed against the overall product development program cost.
There may be some “rheological assistance” due to shear-thinning during injection for some products, but a variety of approaches to reduce delivery challenges are actively being pursued. Examples include thin-walled or tapered needles to reduce viscous resistance and minimize pain, constant force springs and dampers to minimize peak forces, precisely moulded cyclic polyolefin syringes that are more robust than glass, and reduced friction stoppers and syringes. But why not just change the approach to injected delivery and side-step some of these challenges?
On-body delivery systems
An interesting device scenario is presented if injection time is treated as an opportunity instead of a challenge. When applying the Hagen-Poiseuille equation (Equation 1) for an autoinjector, the flow rate, Q, of 1 mL or 2 mL in perhaps 10 seconds, is driven largely by the acceptable operating time for the patient. But if the injection device could be worn for 15 minutes during delivery, then the flow rate for the same injection size reduces by 9000%and according to Equation 1 the plunger force would reduce in the same ratio. In fact, the drug formulation could be less concentrated (and therefore less viscous), though of larger volume, say 5 mL, while the flow rate and force to deliver would remain very manageable. This approach is the operating territory for the “on-body delivery system,” also referred to as the large-volume injector (LVI) or “bolus delivery device.”
A number of devices of this type are becoming available or are in development. These devices use a variety of primary containers (glass/plastic, flexible/rigid, traditional and novel variants) and a range of mechanisms, power sources, and control systems (mechanical, electrical, electronic, hybrid). The on-body delivery system addresses some of the key challenges confronting the autoinjector, and much effort is being devoted to the technical, pharmaceutical, and user-related aspects of this type of device. These devices are covered in the forthcoming international standard, ISO 11608-6, “On-body delivery systems,” which is currently in the final stages of review.
Highly viscous products
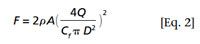
Golden syrup (or Karo syrup in the US) has a viscosity of approximately 3000 cP, and although few pharmaceutical products have viscosities this high, injection of higher viscosity products remains of interest. Needle-free delivery has been a reality since the late 1940s, and several technologies are now available. Needle-free delivery uses a fine, high velocity jet generated by driving liquid through an orifice at high pressure to pierce the skin and underlying tissue. The governing equation (by Bernoulli) can be rearranged as shown in Equation 2:
where F = plunger force; Q = volumetric flow rate; ρ = fluid density; A = syringe plunger area; Cf = orifice flow coefficient (0.95 for a practical, round-edged orifice); and D = orifice diameter.
Comparing this with the Hagen-Poiseuille (Equation 1), the only fluid property in the Bernoulli equation is ρ (density), and there is no viscosity term. Because drug formulations generally have densities close to that of water, the implication is that a needle-free device will deliver the same volume, at the same rate, using the same energy, largely irrespective of viscosity.
Strictly speaking, this hypothesis holds true for orifice plates of zero length and hence is not the only governing relationship for a practical, real-life device. Nevertheless, although practical orifii do have a finite length and do exhibit some viscous loss, needle-free devices are largely unaffected by product viscosity in the practical range of interest.
Which to choose?
All three injection technologies discussed previously have their place, but often selection is left until late in the development of the drug product, which means that opportunities can be missed. Early exploration of formulation options together with the increasingly wide range of real, practical options for parenteral delivery can provide significant benefits to everyone from the pharmaceutical company to the patient.
Reference
1. Evaluate Pharma,
Acknowledgement
The author wishes to acknowledge the invaluable input of colleagues at Team Consulting, especially Jamie Greenwood, laboratory manager.
Article Details
BioPharm International
Vol. 29, No. 4
Pages 53–55, 65
Citation:
When referring to this article, please cite it as A. Fry, " A Review of the Challenges of Delivering Macromolecule Biologicals," BioPharm International 29 (4) 2016.
Articles in this issue
almost 10 years ago
Modeling the Efficacy of HTST for Inactivating Mouse Minute Virusalmost 10 years ago
Continuous Processing for the Production of Biopharmaceuticalsalmost 10 years ago
Integrating Technology Transfer and Facilities Startup for Biologicsalmost 10 years ago
Essentials in Bioassay Design and Relative Potency Determinationalmost 10 years ago
Lessons Learned Accelerate Vaccine Developmentalmost 10 years ago
Platform Approach Speeds Process Developmentalmost 10 years ago
Behind the Scenes in Vaccine Developmentalmost 10 years ago
Size-Exclusion Chromatography for Preparative Purification of Biomoleculesalmost 10 years ago
Vaccine Development Faces Urgency and Challengesalmost 10 years ago
CMC Development is HotNewsletter
Stay at the forefront of biopharmaceutical innovation—subscribe to BioPharm International for expert insights on drug development, manufacturing, compliance, and more.




